貉(Nyctereutes)是现今东亚特有的犬科土著,形态和生态行为颇为独特,通常以更强的杂食倾向而区别于其他犬科动物,下颌发育有特别的次角叶(subangular),四肢和尾粗短,体型介于浣熊和犬之间,它能像熊一样冬季蛰眠,在犬科中可谓独树一帜。在欧亚大陆,它也是犬科中出现最早的一支,从上新世早期开始由北美向欧亚大陆辐射,目前仅有2现生种残存于东亚地区(欧洲的现生种群是后期人工引进的)。

图1 来自周口店十三地点的裴氏貉头骨RV41004(A-C)和 ZD00214(D-F)
作为一个非常成功的犬科动物,貉的踪迹在地质历史时期可谓遍及欧亚大陆,甚至一度远播至非洲。据不完全统计,有10多个不同时期或地区的物种先后被确立。产于我国的中华貉Nyctereutes sinensis便是其中一个引人关注的化石种。在上新世和更新世,它在东亚地区(主要是中国)十分繁荣而盛极一时。然而,在分类学上,它却一直饱受争议。
其中纷争最大的,当属中更新世时期的貉化石(如北京周口店出土的)。在上个世纪上半叶,裴文中和德日进(Teilhard de Chardin)等中外著名古生物学家曾一度将之悉数归入了中华貉。然而,在下半叶,随着丰富标本的陆续发现,形态学的研究不断深入,这个传统观点便开始受到人们越来越多的质疑。以西班牙古生物学家索利亚(Soria)和阿吉雷(Aguirre)为代表的众多学者,认为中国中更新世(如北京周口店)的貉化石在形态上明显有别于典型的中华貉(即分布于上新世和早更新世的),更接近于现生貉,而明确主张将其划归现生种,即Nyctereutes procyonoides。他们甚至认为它们其实就是东亚现生种群的直系祖先,据此可以视之为现生种的一个化石亚种(N. procyonoides sp.)。目前,这个主张似乎得到了较为普遍的接受和认可,俨然成为学术界的主流声音。不过,仍有一些学者对此抱有极大的疑虑和不确定性,尽管他们也十分赞同将中更新世的貉化石从中华貉中剔除。
当代对貉(Nyctereutes)的分子生物学最新研究,似乎进一步强化了这种怀疑和猜测。在该学科兴起之前,传统形态学的研究一般认为现生残留的种群仅为单一物种,即N. procyonoides, 但依据地理分布可以划分为若干不同的亚种(群)。在这种单一现生种的框架之下,索利亚和阿吉雷作为祖先类型的中更新世貉归入现生种,这个倡议应该说尚无不可。因为,这时的N. procyonoides始终为一个单系类群(monophyletic group)。不过,现生种群倘如可以划分为不同的独立种,那么再如此坚持恐将会引起明显的冲突和矛盾。毕竟,此时的N. procyonoides也只能是一个非单系类群,因为并非所有的后裔个体被揽括其中。这恰恰是系统发育生物种概念(phylogenetic species concept)所要全力规避的。

图2 不同貉上(A)下(B)牙齿的比较 (姜皓绘制)1.现生N. proccyonoides; 2.裴氏貉;3.中华貉

图3 貉(Nyctereutes)不同种群的下牙齿主成分分析
现代越来越多的分子生物学研究就对现生单一貉种的观点提出了挑战,韩国动物学家金尚仁(Kim Sang-In)等明确提出应将日本岛屿的貉从N. procyonoides中独立出来。虽说这一倡议并未得到学术界(尤其是古生物学界)的普遍重视和接受,可能源于不甚明显的形态差异。不过,他们提供的分子生物学(如染色体和线粒体DNA)证据却足以表明日本的岛屿种应为一个事实上的隐形种(cryptic species)。况且,无论日本岛屿种N. viverrinus如何争议,这些证据都足以警醒人们:极有必要重新审视各类貉化石标本,尤其是中更新世的,以探求它们的确切分类属性和地位。

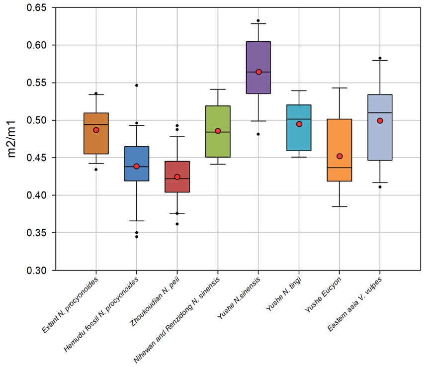
图4 不同貉(Nyctereutes)以及相关物种的臼齿比 m2/m1 框图
中更新世的貉化石当属周口店的最为丰富和典型。它们于上个世纪初与北京猿人头骨一同发现于第一,十三等地点。裴文中和德日进等人曾先后对此进行了初步的研究,但此后却鲜有人对此进行系统的重新研究。尽管索利亚和阿吉雷等诸多学者反复提及它们,并对此做出一些简要评估和分析,不过,研究大多基于裴文中和德日进等人的原始描述和数据(图版和测量等)。由此可见,周口店的貉标本应该说始终缺少第一手且全面的审视和评估,不得不说是研究中的一大缺憾。
有鉴于此,中国科学院古脊椎所刘金毅研究员领衔的研究团队,在近一个世纪后,又重新启动了对周口店第一和十三地点的貉化石标本的系统性研究,并就其系统分类和觅食行为等诸多学术问题展开了深入的探讨和分析,相关研究成果目前已在国际学术期刊《历史生物学》(Historical Biology)在线刊发。
借助于传统的形态比较以及牙齿测量的统计分析等多种研究手段,研究团队成功揭示了周口店貉标本的形态特性。在个体大小和牙齿形态上,它们与早期的貉化石(例如榆社和泥河湾等地的中华貉)比较接近,但在头骨以及下颌的解剖结构上,则与现生种群颇为近似。它们实际同时兼有原始和衍生两大特性,这种复杂的镶嵌组合形态可能是导致分类问题长期争议且悬而未决的最大根源。
除此以外,团队研究还发现周口店貉区别于其他种(包括化石和现生)的自近裔性特征,即裂齿(carnassials)十分粗壮发达,它们的长宽比值(W/L)与其他各种存在统计学意义的显著差异。这表明周口店貉在生态(尤其是觅食行为)上有着较为独特的适应策略和方式。臼齿比(可用于食性分析)的最终数据,显示周口店貉在所有种群(包括化石和现生)中是最低的,表明它具有很强的高肉食性,这与形态的观察和对比可谓不谋而合,彼此支持和验证。
数据同时表明现生种群在觅食的演化趋势上已发生了根本性的逆转,又重新回归了日趋杂食的轨道上来。这可能是整个浣熊犬进化过程中的一个重要转折点,预示着现生种群的到来。
在综合了所有的分析资料和数据后,团队对周口店貉的系统分类问题提出了最终解决方案,即将其归为一个新的化石种—裴氏貉(Nyctereutes peii)。对于一个新创立单元,团队出于严谨的考虑,还从形态测量学、统计学和分支分类学,以及系统发育和生态物种概念等多个方面,详细探讨并阐述了建种的正当性和必要性。
本次研究得到了国家自然科学基金项目(批准号:41772018)的资助,刘金毅研究员为通讯作者,硕士研究生姜皓为第一作者。另外,江左其杲副研究员和北京周口店猿人遗址博物馆的宁娟也参与了本次研究。
论文链接:https://www.tandfonline.com/doi/full/10.1080/08912963.2023.2276147
来源:中国科学院古脊椎与古人类研究所官网
编辑:诸鹏飞